GM Service Manual Online
For 1990-2009 cars only

SMU - SECTION 8A - ELECTRICAL DIAGNOSIS

SUBJECT: SERVICE MANUAL UPDATE - SECTION 8A - ELECTRICAL DIAGNOSIS

MODELS: 1993-94 CHEVROLET CAMARO 1993-94 PONTIAC FIREBIRD

THE CHART ON PAGE 8A-81-21 FOR THE 1993 CAMARO AND FIREBIRD SERVICE MANUALS HAS BEEN REVISED TO ALSO CHECK FOR A POSSIBLE SHORTED ISOLATION DIODE.

THE CHART ON PAGE 8A-63-4 FOR THE 1993 CAMARO AND FIREBIRD SERVICE MANUALS HAS BEEN REVISED TO ALSO CHECK FOR A POSSIBLE OPEN WIRE IN CIRCUIT 65.

THE SYMPTOM TABLE ON PAGE 8A-33-2 FOR THE 1993 AND 1994 CAMARO AND FIREBIRD SERVICE MANUALS HAS BEEN UPDATED TO INCLUDE AN INACCURATE SPEEDOMETER.

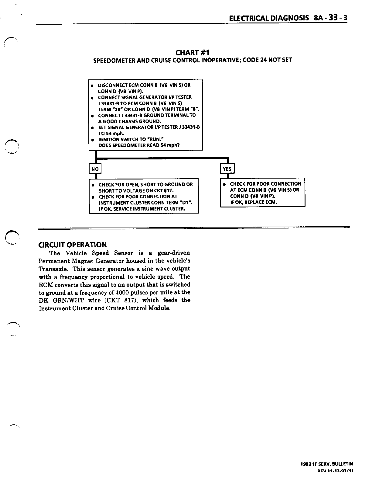
THE CHART ON PAGE 8A-33-3 FOR THE 1993 CAMARO SERVICE MANUAL HAS BEEN UPDATED TO REVISE AN INSTRUMENT CLUSTER TERMINAL NUMBER.

THE SCHEMATIC ON PAGES 8A-30-0, 8A-133-0, AND 9D-4 OF THE 1994 CAMARO/FIREBIRD SERVICE MANUAL HAS BEEN UPDATED. THE GAUGE SIZE AND WIRE COLOR OF CIRCUIT 269 HAS BEEN CHANGED AND AN IMPORTANT NOTE HAS BEEN ADDED.

AN ADDITIONAL PAGE FOR THE RADIO 8A-150 SECTION OF THE 1994 CAMARO/FIREBIRD SERVICE MANUAL HAS BEEN ADDED TO INCLUDE THE PONTIAC CONVERTIBLE 6 SPEAKER SOUND SYSTEM (UW6).

THE FUSIBLE LINKS FOR BATTERY FED CIRCUITS ARE GOING TO CHANGE TO A DIFFERENT COLOR SCHEME FOR EASIER IDENTIFICATION AND SERVICEABILITY. THE 1.0 GAUGE LINK WILL BE BLACK AND THE 2.0 GAUGE LINK WILL BE GRAY (BOTH PREVIOUSLY RUST). THIS WILL BE IMPLEMENTED SOMETIME DURING THE 1994 MODEL YEAR AS A RUNNING CHANGE.

PLEASE USE THE ENCLOSED REVISED INFORMATION WHEN DIAGNOSING 1993 - 1994 CAMARO OR FIREBIRD.

FIGURES: 12


Object Number: 77838  Size: FS


Object Number: 77837  Size: FS


Object Number: 77206  Size: FS


Object Number: 77205  Size: FS


Object Number: 169444  Size: FS


Object Number: 169445  Size: FS


Object Number: 169446  Size: FS


Object Number: 169447  Size: FS


Object Number: 169448  Size: FS


Object Number: 169449  Size: FS


Object Number: 169450  Size: FS


Object Number: 169451  Size: FS

GENERAL MOTORS BULLETINS ARE INTENDED FOR USE BY PROFESSIONAL TECHNICIANS, NOT A "DO-IT-YOURSELFER". THEY ARE WRITTEN TO INFORM THOSE TECHNICIANS OF CONDITIONS THAT MAY OCCUR ON SOME VEHICLES, OR TO PROVIDE INFORMATION THAT COULD ASSIST IN THE PROPER SERVICE OF A VEHICLE. PROPERLY TRAINED TECHNICIANS HAVE THE EQUIPMENT, TOOLS, SAFETY INSTRUCTIONS AND KNOW-HOW TO DO A JOB PROPERLY AND SAFELY. IF A CONDITION IS DESCRIBED, DO NOT ASSUME THAT THE BULLETIN APPLIES TO YOUR VEHICLE, OR THAT YOUR VEHICLE WILL HAVE THAT CONDITION. SEE A GENERAL MOTORS DEALER SERVICING YOUR BRAND OF GENERAL MOTORS VEHICLE FOR INFORMATION ON WHETHER YOUR VEHICLE MAY BENEFIT FROM THE INFORMATION.

COPYRIGHT 1994 GENERAL MOTORS CORPORATION ALL RIGHTS RESERVED.